На информационном ресурсе применяются рекомендательные технологии (информационные технологии предоставления информации на основе сбора, систематизации и анализа сведений, относящихся к предпочтениям пользователей сети "Интернет", находящихся на территории Российской Федерации)

Мировое обозрение

175 подписчиков

Свежие комментарии

  • Владимир Алтайцев
    🤮🤮🤮🤮🤮🤮🤮🤮🤮🤮🤮🤮🤮🤮🤮🤮🤮🤮🤮🤮🤮🤮🤮😔😔😔Был ли Пригожин е...
  • Владимир Алтайцев
    Xnj,  nt,t? uyblt? clj[yenm d  cnhfiys[ vextybz['/Чтоб  тебе, писаке, сдохнуть в страшных мучениях, как собаке в кана...Был ли Пригожин е...
  • Галина Соколова
    О чем предупредил!?что за идиот печатает такие статьи!?СРОЧНО - Президен...

Как организм матери «выбирает» пол будущего ребенка? Почему на самом деле шансы не 50/50

Мы привыкли думать о рождении ребенка как о своего рода генетической лотерее. Вероятность 50 на 50, орёл или решка. Пол будущего человека, как нас учили в школе, зависит от отца: какой сперматозоид — с «женской» X-хромосомой или с «мужской» Y — первым достигнет цели. Звучит просто и элегантно. Но жизнь, как это часто бывает, оказывается куда интереснее простых схем.

Наверняка каждый из нас знает семьи, где из поколения в поколение рождаются только мальчики. Или, наоборот, настоящие «девичьи царства», где о сыне только мечтают. Мы списываем это на случайность, на забавное совпадение. Но что, если это не просто совпадение? Учёные из Гарварда решили копнуть глубже и задались вопросом: а не играет ли организм матери свою, до сих пор недооценённую, роль в этом деликатном процессе?

Счастливая семья
Автор: Freepik Источник: www.freepik.com

И, похоже, они нащупали что-то важное.

Что-то не сходится в статистике

Чтобы проверить свою догадку, исследователи не стали ставить новые эксперименты, а обратились к сокровищнице данных — результатам двух крупных многолетних исследований здоровья американских женщин. В их распоряжении оказалась информация о более чем 58 000 матерей. Это огромный массив данных, который позволяет увидеть закономерности, неразличимые в малых группах.

Учёные анализировали не просто пол детей. Они сопоставляли его с восемью различными характеристиками самих матерей: от роста и веса до группы крови и даже хронотипа (проще говоря, сова женщина или жаворонок). И вот тут их ждал сюрприз.

Большинство факторов не показали никакой связи с полом потомства.

Но один параметр выделялся на общем фоне — возраст женщины на момент рождения первого ребёнка.

Результаты оказались поразительными. Выяснилось, что у женщин, ставших мамами впервые после 28 лет, вероятность родить детей только одного пола (то есть, иметь в семье либо только сыновей, либо только дочерей) составляла целых 43%. Для сравнения, у тех, кто родил первенца до 23 лет, этот показатель был значительно ниже — 34%.

Разница почти в 10 процентных пунктов — это уже не статистическая погрешность. Это сигнал, что за кулисами привычной генетики происходит что-то ещё. Но что именно?

Распределение последовательности полов потомства по размеру группы братьев и сестер (диапазон: от 2 до 5) в порядке убывания по количеству и проценту матерей в каждой группе. Цитирование: Siwen Wang et al., Is sex at birth a biological coin toss? Insights from a longitudinal and GWAS analysis.Sci. Adv.11,eadu7402(2025).DOI:10.1126/sciadv.adu7402
Автор: Siwen Wang et al. Источник: www.science.org
Химия тела против психологии выбора

Итак, у нас есть корреляция: чем старше мать на момент первых родов, тем выше шанс, что все её дети будут одного пола. Но корреляция, как известно, не означает причинно-следственную связь. Исследователи предложили два возможных объяснения, и они лежат в совершенно разных плоскостях.

Версия первая: биологическая. Эта гипотеза предполагает, что с возрастом в женском организме происходят тонкие биохимические изменения, которые создают своего рода «фильтр», отдающий предпочтение сперматозоидам одного типа.

Позвольте объяснить. Сперматозоиды с Y-хромосомой («мальчиковые») считаются более быстрыми и подвижными, но менее живучими. Их собратья с X-хромосомой («девочковые») — медленнее, но выносливее и устойчивее к неблагоприятной среде.

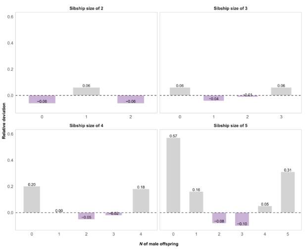
Относительное отклонение распределения полов потомства от биномиального ожидания по размеру группы братьев и сестер (диапазон: от 2 до 5). Обратите внимание, что ожидаемое распределение было рассчитано как простое биномиальное распределение с вероятностью рождения мальчика = 0,519 при любом отдельном рождении, в соответствии с соотношением мужчин и женщин в исследуемой популяции. Относительное отклонение = (наблюдаемое количество − ожидаемое количество)/ожидаемое количество. Все тесты хи-квадрат P Автор: Siwen Wang et al. Источник: www.science.org

С возрастом в организме женщины могут меняться два ключевых фактора:

  1. Ритм ежемесячного цикла. Некоторые исследования показывают, что его первая фаза может укорачиваться. Теоретически это способно сдвигать окно овуляции и давать преимущество более проворным Y-сперматозоидам.
  2. Биохимия внутренней среды. Есть данные, что с годами кислотность (уровень pH) в репродуктивной системе женщины может меняться. Более кислая среда создаёт суровые условия, в которых выживают только самые стойкие — то есть, сперматозоиды с X-хромосомой.

Таким образом, в зависимости от индивидуальных особенностей, возрастные изменения в организме женщины могут склонять чашу весов либо в пользу мальчиков, либо в пользу девочек.

Версия вторая: поведенческая. Это объяснение, предложенное Джошуа Уайлдом из Оксфорда, переносит фокус с биологии на психологию и социальные факторы. Логика здесь совершенно иная.

Женщины, которые решают завести первого ребенка в более зрелом возрасте, зачастую более осознанно подходят к планированию семьи. У них может быть чёткое представление об «идеальном» количестве детей. Представим ситуацию: пара хотела двоих детей, надеясь на разнополых. У них рождается сын, потом ещё один. Подумав, они решают, что их семья укомплектована, и останавливаются. Результат? Семья с двумя мальчиками.

А теперь представим более молодую пару. У них та же ситуация — два сына. Но они, возможно, менее скованы планами и с большей лёгкостью решаются на третью попытку «за девочкой». Если она удаётся, то в семье появляются разнополые дети, и она выпадает из статистики.

Получается, что более высокая вероятность иметь детей одного пола у старших матерей может быть не следствием биологии, а отражением их решения прекратить попытки завести ещё одного ребёнка после двух (или более) однополых детей.

Манхэттенский график, показывающий результаты GWAS по наличию потомства только одного пола (по сравнению с наличием потомства обоих полов), исключая последние роды всех женщин. Обратите внимание, что анализ GWAS проводился только среди участников NHSII с информацией о геноме. (A) Наличие потомства только одного пола (по сравнению с наличием потомства обоих полов), N = 2933. (B) Рождение детей только женского пола (по сравнению с рождением детей обоих полов), N = 2015. (C) Рождение детей только мужского пола (по сравнению с рождением детей обоих полов), N = 2135. Многомерные модели, скорректированные с учетом родства, этнической принадлежности и четырех основных компонентов. Цитирование: Siwen Wang et al., Is sex at birth a biological coin toss? Insights from a longitudinal and GWAS analysis.Sci. Adv.11,eadu7402(2025).DOI:10.1126/sciadv.adu7402
Автор: Siwen Wang et al. Источник: www.science.org
Так в чём же правда?

Скорее всего, истина, как это часто бывает, где-то посередине. Очень может быть, что оба фактора — и тонкие биологические настройки, и осознанное планирование семьи — вносят свой вклад. Разобраться в этом — задача для будущих исследований. Нужно будет разработать такие модели, которые позволят отделить влияние поведения от чистой физиологии.

Одно можно сказать точно: это исследование красиво иллюстрирует, насколько сложна и многогранна человеческая репродуктивная система. Простая школьная схема «X + Y» — это лишь первый, самый базовый уровень понимания. Под ним скрывается целый мир биохимических нюансов, гормональных сдвигов и, как оказалось, даже наших жизненных планов и решений.

И хотя эти данные не дают нам инструмента для «заказа» пола ребёнка, они определённо делают картину мира чуть более сложной и гораздо более захватывающей. Старая добрая монетка, похоже, отправляется на покой.

Изображение в превью:
Автор: Freepik
Источник: www.freepik.com
Ссылка на первоисточник
наверх